2) one minimum value 3) no extreme value 4) one maximum and one minimum value Solution (3) no extreme value f (x) = x 3 ax 2 bx c, a 2 = 3b f' (x) = 3x 2 2ax b Put f' (x) = 0 3x 2 2ax b = 0 x = 2a ± √4a 2 – 12b / 2 * 3 = 2a ± √a 2 – 3b / 3 Since, a 2 = 3b, x has an imaginary value So, no extreme The quartic polynomial $f(x) = x^4 a x^3 b x^2 c x d$ is such that $ad$ is odd and $bc$ is even Prove that $f(x)$ does not has all rational rootsLet us calculate the derivative of F(X) F'(X)= 3X²2AXB Now since it doesn't depend upon C, hence C can take any value present on a dice (1 to 6) Now F'(X) should be always greater than 0 for F(X) to be increasing function For this quadratic equation to be greater than zero for all X, the discriminant D has to be negative
If One Of The Zeroes Of The Cubic Polynomial X 3 Ax 2 Bx C Is 1 Then The Product Of The Other Two Zeroes Is A B A 1 B B A 1 C A B 1 D A B 1 Snapsolve
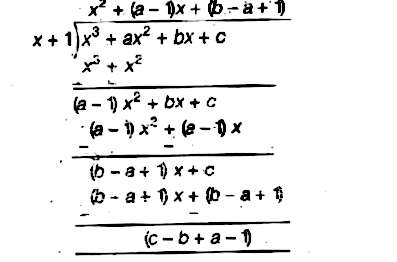
Consider f(x)=x^3+ax^2+bx+c
Consider f(x)=x^3+ax^2+bx+c-Advertisement Remove all ads Solution Show Solution \\text { We have,} \ \f\left( x \right) = x^3 a x^2 bx c\ \ \Rightarrow f'\left( x \right) = 3 x^2 2ax b\//googl/JQ8NysVertex Formula for the Quadratic Function f(x) = ax^2 bx c



If F X X 3 Ax 2 Bx C Is Minimum At X 3 And Maximum At X 1 Then
Extended Keyboard Examples Upload Random Compute answers using Wolfram's breakthrough technology & knowledgebase, relied on by millions of students & professionals For math, science, nutrition, history, geography, engineering, mathematics, linguistics, sports, finance, musicThe graph of the function f(x) = x^3 ax^2 bx c passes through the points (0,1), (2,1), (3,1))If the polynomial ax3 bx2 c is divisible by x2 bx c then ab =?
Let f(x) = x^3 ax^2 bx c and g(x) = x^3 bx^2 cx a , where a, b, c are integers Suppose that the following conditions hold (a) f(1) = 0 , (b) the roots of g(x) = 0 are the squares of the roots of f(x) = 0MCQs from NCERT ExemplarIf the polynomial f(x) = ax^3 bx – c is divisible by the polynomial g(x) = x^2 bx c, then find the value of ab Sarthaks eConnect Largest Online Education Community If the polynomial f(x) = ax3 bx – c is divisible by the polynomial g(x) = x2 bx c, then find the value of ab Login Remember Register
Hi Elliot The inverse of a function f is a function g such that g(f(x)) = x So if you have the function f(x) = ax 2 bx c (a general quadratic function), then g(f(x)) must give you the original value xYou should already see the problem there will be two functions, not one, since a function must provide a unique value in its range for each value in its domain and a quadratic maps twoF (1)=3 Cho biết hàm số y = f (x) = x3 ax2 bx c y = f ( x) = x 3 a x 2 b x c đạt cực tiểu tại điểm x = 1,f (1) = −3 x = 1, f ( 1) = − 3 và đồ thị hàm số cắt trục tung tại điểm có tung độ là 2 TínhConsider f (x) = x^3 ax^2 bx c Parameters a, b, c are chosen, respectively, by throwing a die three times Then the probability that f (x) is an increasing function is Class 12



23 Find The Value Of A And B In Px X3 Ax2 Bx 9 Gauthmath



1 Linearf X Mx Bone F X Ax 2 Bx C A 0quadratictwo Cubicthreef X Ax 3 Bx 2 Cx D A 0 Degree Function Equation Common Polynomial Ppt Download
If one of the zeroes of the cubic polynomial x 3 ax 2 bx c is −1, then the product of the other two zeroes is (a)b – a 1 (b) b – a – 1 (c) a – b 1 (d) a – b − 1 Next Question 9→ Chapter 2 Class 10 Polynomials (Term 1) Serial order wise;Cho hàm số f x = x 3 a x 2 b x c thỏa mãn c > 19, a b c18 < 0 Số điểm cực trị của hàm số y = f x 19 là Câu hỏi trong đề 195 Bài trắc nghiệm Hàm số$$ y=f(x)=\frac{ax^2bxc}{dx^2exf} $$ We have to find the conditions for this it takes all real values MY solution One approach is to equate it to y and for a quadratic of x and put discrimin



What Is The Difference Between Ax 2 Bx C And X 2 Bx C In A Quadratic Equation Perspective Quora



Given That F X Ax 2 B X C And F X Y F X F Y Xy For Problem Solving Ps
Cho hàm số y =x3 ax2 bxc(a,b,c ∈ R) y = x 3 ax 2 bx c ( a, b, c ∈ ℝ) có đồ thị và y = mx2nxp (m,n,p ∈ R) y = mx 2 nx p ( m, n, p ∈ ℝ) có đồ thị (P) như hình vẽLet f(x) = x^3 ax^2 bx c where a, b and c are constants Show that f is increasing on (infinity, infinity)if a^2 lessthanorequalto 3b assume that a^2 > 3b, show that f is increasing on and decreasing on (infinity, (a Squareroot a^2 3b)/30 and (a Squareroot a^2 3b/3, infinity) and decreasing on ((aSquareroot a^2 3b/3 (a SquarerootSOLUTION When the polynomials f (x)= (a1)x^3ax^2bxc where a,b,and c are constants is divided by (x2) and (x1),the remainder are 5 and 4 respectivelyif (x1) is a factor of f (x),find t Algebra Polynomials, rational expressions and equations



If F X Ax 2 Bx C Has No Real Zeroes And A B C 0 Then A C 0 B C 0 C C O D None Of These Mathematics Topperlearning Com H9a8fyaa



If One Of The Zeroes Of The Cubic Polynomial X 3 Ax 2 Bx C Is 1 Then The Product Of The Other Two Zeroes Is A B A 1 B B A 1 C A B 1 D A B 1 Snapsolve
The graph of y=x^22x1 is translated by the vector (2 3)The graph so obtained is reflected in the xaxis and finally it is stretched by a factor 2 parallel to yaxisFind the equation of the final graph is the form y=ax^2bxc,Find stepbystep Calculus solutions and your answer to the following textbook question What values of a and b make f(x) = x^3 ax^2 bx have a a local maximum at x = 1 and a local minimum at x = 3?Get an answer for 'Consider the cubic function f(x) = ax^3 bx^2 cx d Determine the values of the constants a, b, c and d so that f(x) has a point of inflection at the origin and a local



Q Given F X Ax2 Bx 2 And G X Bx2 Ax 1 If X 2 Is A Factor Of F X But Leaves The Remainder 15 When Maths Factorisation Of Polynomials Meritnation Com



Math Scene Equations Iii Lesson 2 Quadratic Equations
Consider f (x) =x^3ax^2bxc Parameters a, b, c are chosen as the Filo Class 11 Math Algebra Probability I 502 150 Consider f (x) = x3 ax2 bx c Parameters a,b,c are chosen as the face value of a fair dice by throwing it three times Then the probability that f (xIf f(x) is a quadratic polynomial, then f(x) = 0 is called a quadratic equation An equation in one unknown quantity in the form ax 2 bx c = 0 is called quadratic equation Maximum and Minimum Values of the Quadratic ExpressionA compound quadratic is a polynomial that can be expressed in the form a x 2 n b x n c ax^{2n}bx^{n}c a x 2 n b x n c, where a ≠ 0, b a \neq 0,b a = 0, b and c c c are constants, and n n n is a positive integer This can be generalized to compound polynomials, where the degree of the terms is a multiple of some positive integer



If X 1 Is A Factor Of 2x3 Ax2 2bx L Then Find The Value Of A And B Given That 2a 3b 4 Studyrankersonline



If The Zeroes Of A Quadratic Polynomial Ax2 Bx C Are Both Positive Then A B And C All Have The Same Sign Studyrankersonline
The values of a, b and c respectively for the expression f (x) = x3 ax2 bx c, if f (1) = f (2) = 0 and f (4) = f (0) are (a) 9, , 12 (b) –9, –, 12 (cExamples ax^2bxc=0 x^2x6=9 x^2x6=0 x^21=0 x^22x1=3x10 2x^24x6=0 quadraticequationcalculator ax^2bxc=0If f(x) = x 3 ax 2 bx c has a maximum at x = \\ 1 and minimum at x = 3 Determine a, b and c ?



If One Of The Zeroes Of The Cubic Polynomial X3 Ax2 Bx C Is 1 Then What Is The Product Of The Other Two Zeroes Quora



Quadratic Functions
Please Subscribe here, thank you!!!Given f(x) = ax 3 bx − c is divisible by the polynomial g(x) = x 2 bx c We must have `bx acx ab^2x abc c = 0 , for all x ` So put x = 0 in this equation `x (b ac ab^2) c (ab 1)= 0` `c (ab 1)=0` Since `c ≠ 0`, so `ab 1 = 0` `⇒ ab = 1` Calculus Consider the function f (x)=x^3ax^2bxc that has a relative minimum at x=3 and an inflection point at x=2 a) Determine the constants a and b to make the above information true for this function b)



1



Quadratic Function Wikipedia
Then 2 = f (1) = abc = 3 5 c = 2 c# Subtract 2 from both ends to get c = 4 So f (x) = 3x^25x4 Check f (1) = 354 = 57 = 2 f (3) = 3*93*54 = = 46 f (3) = 3*93*54 = = 16Quadratic Equation Quadratic equation is a second order polynomial with 3 coefficients a, b, c The quadratic equation is given by ax 2 bx c = 0 The solution to the quadratic equation is given by 2 numbers x 1 and x 2 We can change the quadratic equation to the form ofThe function f(x) = ax 2 bx c is a quadratic function The graph of any quadratic function has the same general shape, which is called a parabola The location and size of the parabola, and how it opens, depend on the values of a, b, and c As shown in Figure 1, if a > 0, the parabola has a minimum point and opens upward



Search Q Ax 5e3 2bbx 5e2 2bcx 2bd 3d0 Tbm Isch



Consider The Cubic Equation X 3 Ax 2 Bx C 0 Where A B C Are Real Numbers Which Of The Following Statements Is Correct
Do the grouping x^{3}x^{2}axxa1=\left(x^{3}axx\right)\left(x^{2}a1\right), and factor out x in the first and 1 in the second group {\partial }{\partial c^{n1}}}\frac{1}{ a{x}^{2}bxc } = \frac{1}{ \left(a{x}^{2}bxc \right)^n} I was a bit confused about what you did and did not want to involve, but in my opinion theThis video explains how to write a quadratic expression in the form ax^2bxc in the form a(xh)^2khttp//mathispower4ucom解:f(x)=x^3ax^2bxa^2(a,b∈R),的导函数 f'(x)=3x^22axb 因为f(x)在x=1处有极值 所以f'(x=1)=3x^22axb=0成立,即3x2ab=0 (1) 又因为x=1时极值为10,所以f(x=1)=x^3ax^2bxa^2=10 即1aba^2=10 (2) 将(1)(2)式联立为方程组,解得a=3或a=4 分别带入原方程组求得b=3或11 已知函数f(x



Cho Ham Số F X X 3 Ax 2 Bx C A B C Thuộc R Vietjack Com



5 1 A Quadratic Function F Is A Function Of The Form F X Ax2 Bx C Where A B And C Are Real Numbers And A Not Equal To Zero
For expression f(x)=x 3 ax 2 bxc if f(1)=f(2)=0 and f(4)=f(0), then the value of a,b and c Share with your friends Share 7Get the answer to this question and access a vast question bank that is tailored for students Login Study Materials If f(x) is divisible by g(x), then the 'remainder' of a long division would equal zero3 The curve y =ax 2 bx c passes through the point (2, 4) and is tangent to the line y = x 1 at (0, 1) Determine values for a, b, and c Gauss sits at the point (b –c, 4a)



Advanced Level Mathematics Pure Mathematics 2 3 By Cambridge University Press Education Issuu



Quadratic Function
Riya Vardhan answered this Given, f (x) = x 3 ax 2 bx c Now, f (1) = 0 => (1) 3 a (1) 2 b (1) c = 0 => 1 a b c = 0 => a b c = (–1) ——————eq (i) Also, f (2) = 0 => (2) 3 a (2) 2 b (2) c = 0 => 8 4a 2b c = 0Solve your math problems using our free math solver with stepbystep solutions Our math solver supports basic math, prealgebra, algebra, trigonometry, calculus and moreCho biết hàm số f (x)= {x^3} a {x^2} bx c đạt cực tiểu tại điểm x=1;



If X 2 Px 1 Is A Factor Of The Expression Ax 3 Bx C Then Prove That A 2 C 2 Ab Quora



How Do You Find A Parabola With Equation Y Ax 2 Bx C That Has Slope 4 At X 1 Slope 8 At X 1 And Passes Through 2 15 Socratic
A polynomial is a type of expression in which the exponents of all variables should be a whole number Answer If the polynomial ax 3 bx c is divisible by x 2 bx c then value of ab is 1 As ax 3 bx c is divisible by x 2 bx c, then the remainder is 0 Explanation The remainder when ax 3 bx cFor the general cubic polynomial f(x)= ax^3 bx^2 cx d (a different from 0) Find conditions on a, b, c, and d to ensure that f is always increasing or always decreasing on (00, 00)To assure Increasing The slope would have to be postive for all values of x Take the derivative 3ax^22bxcStep 1 Add bx to both sides ax^3bxc−bx=0−bx ax^3c=−bx Step 2 Add c to both sides ax^3c−c=−bx−c ax^3=−bx−c Step 3 Divide both sides by x



F X Is A Cubic Polynomial X 3 Ax 2 Bx C Such That F X 0 Has Three Distinct Integral Roots And F G X 0 Does Not Have Real Roots Where G X X 2



If One Of The Zeroes Of The Cubic Polynomial X3 Ax2 Bx C Is 1 Then The Product Of The Other Two Zeroes Is Studyrankersonline
3 bx c is divisible by x 2 bx c then what is the value of 'ab'? Ex 131, 11 Evaluate lim x>1 ax2 bx c Chapter 13 Chapter 13 Class 11 Limits and Derivatives (Term 1 and Term 2) Serial order wiseFind the Derivative f(x)=ax^3bx^2cxd By the Sum Rule, the derivative of with respect to is Evaluate Tap for more steps Since is constant with respect to , the derivative of with respect to is Differentiate using the Power Rule which states that is where Multiply by



Quadratic Graph Example Y Ax C Expii



Consider The Cubic Equation X 3 Ax 2 Bx C 0 Where A B C Are Real Numbers Sarthaks Econnect Largest Online Education Community
Answer to F(x) = x 3 ax 2 bx c The roots of f(x) = 0 are 2, 3, and k When f(x) is divided by x – 1, the remainder is 8 a Find the value of k b Find the rem SolutionInnB a local minimum at x = 4 and a point of inflection at x = 1? Get an answer for 'Let g(x) be a polynomial with leading coefficient 1, whose three roots are the reciprocal of the three roots of f(x) = x`^3` ax`^2` bx c, where 1< a



How To Factorise A Polynomial By Splitting The Middle Term A Plus Topper



If F X X 3 Ax 2 Bx C Is Minimum At X 3 And Maximum At X 1 Then
Calculus Graph f (x)=ax^2bxc f (x) = ax2 bx c f ( x) = a x 2 b x c f(x)=ax^2bxc => f'(x)=2axb Remember that the derivative of a sum is the sum of the derivatives (y(x)g(x)z(x))'=y'(x)g'(x)z'(x) In this case f(x)=y(x)g(x)z(xThe Parabola Given a quadratic function \(f(x) = ax^2bxc\), it is described by its curve \y = ax^2bxc\ This type of curve is known as a parabolaA typical parabola is shown here Parabola, with equation \(y=x^24x5\)



F X Ax Bx C Graphic Geogebra



F X Is A Cubic Polynomial X 3 Ax 2 Bx C Such That F X 0 Has Three Distinct Integ Youtube
Xác định a, b, c để hàm số \(f(x)=x^3ax^2bxc\) có giá trị 0 khi x = 1 và đạt giá trị cực trị bằng 0 khi x = 1 Theo dõi Vi phạm YOMEDIA Toán 12 Chương 1 Bài 2 Trắc nghiệm Toán 12 Chương 1 Bài 2 Giải bài tập Toán 12 Chương 1 Bài 2 Trả lời (1)



If Ax 2 Bx C 0 Has Equal Roots Then Find The Value Of C In The Terms Of A And B Quora



If A B Are The Roots Of The Equation Ax 2 Bx C 0 Find A Quadratic Equation With Roots A 3 And B 3 In Terms Of A B And C Quora



If X 2 Is A Factor Of The Polynomial X3 Ax2 Bx 6 And When Divided By X 3 It Leaves Remainder 3 Find The Values Of A And B Mathematics Topperlearning Com Zdhygz677



Consider The Cubic Equation F X Ax 3 Bx 2 Cx Chegg Com



If The Polynomial F X Ax 3 Bx C Is Divisible By The Polynomial G X X 2 Bx C Then Find The Value Of Ab Sarthaks Econnect Largest Online Education Community



Q14 If The Polynomial F X Ax 3 Bx C Is Divisible By The Polynomial G X X 2 Bx



Ex 5 1 17 Find Relationship A B So That F X Is Continuous



Find A Cubic Function F X Ax 3 Bx 2 Cx D Chegg Com



Solving Polynomial Equations Answers



The Graph Of Y Ax 2 Bx C Has A Minimum At 5 3 And Passes Through 4 0 How Do I Find The Values Of A B And C Quora



Graph F X Ax 2 Bx C Youtube



Quadratic Functions A Quadratic Function Is A Function With A Formula Given By The Standard Form F X Ax2 Bx C Where A B C Are Constants And Some Ppt Video Online Download



17 Let F X X3 Ax2 Bx 15 Be A Function Whose Chegg Com



Ex 13 1 11 Evaluate Lim X 1 Ax2 Bx C Chapter 13



You Are Given A Graph Of A Function Of The Form Fx Chegg Com



1 Linearf X Mx Bone F X Ax 2 Bx C A 0quadratictwo Cubicthreef X Ax 3 Bx 2 Cx D A 0 Degree Function Equation Common Polynomial Ppt Powerpoint



Determine A Quadratic Function F Given By F X Ax Bx C If F 0 6 F 2 11 And F 3 6 I Brainly In



Quadratic Formula Calculator



Determine F X Ax 3 Bx 2 Cx D Poi At Origin And Maximum At 2 4 Youtube



Consider F X X 3 Ax 2 Bx C Parameters A B C Are Chosen Respectively By Throwing A Die Three Times Then The Probability That F X Is An Increasing Function Is



Quadratic Functions



Answered Rewrite The Function F X 4 X 3 2 Bartleby



View Question Please Help Me



Let F X X 3 Ax 2 Bx C Where A B And C Are Chegg Com



The Quadratic Function



For F X Ax 2 Bx C If F 1 8 And F 1 4 Find The Value Of A C Brainly In



If X 3 Ax 2 Bx C 0 Has The Roots Alpha 2 Beta 3 Gamma 4 Beta 2 Gamma 3 Alpha 4 And Gamma 2 Alpha 3 Beta 4 Where Alpha Beta Gamma Are The Roots Of X 3 X 2 1 0 Then The Value Of A B C Is Equal To



Let F X Ax 2 Bx C Such That F 1 F 1 And A B C Are In Arithmetic Youtube



Solved Show That If A Cubic Polynomial P X X 3 A X 2 B X C Has A Local Maximum And A Local Minimum Then The Midpo



It Is Given That For The Function F X X3 Bx2 Ax 5 On 1 3 Rolle S Theorem Holds With C 2 1 3 Find Values Of A And B Mathematics Topperlearning Com 3073



If P X X3 Ax2 Bx 3 Leaves A Remainder 19 When Divided By X 2 And Remainder 17 When Divided By X 2 Brainly In



2



5 Let F X Ax2 Bx C Where A 0 Prove That The Secant Method For Homeworklib



1



Find X 3 Ax 2 Bx And Sum Of A And B If The Critical Numbers At 1 And 3 Calculus Youtube



For The Expression F X X3 Ax2 Bx C If F 1 F 2 0 And F 4 F 0 The Values Of A B Brainly In



Answered Me Id A 6 Find A Cubic Function Bartleby



If The Zeroes Of Polynomial X3 Ax2 Bx C Are In Ap Then Show That Maths Polynomials Meritnation Com



If F X X 3 Ax 2 Bx C Is Minimum At X 3 And Maximum At X 1 Then



2



If X 3 Ax 2 Bx 6 Has X 2 As A Factor And Leaves A Remainder 3 When Divided By X 3 Youtube



Misc 7 Find Derivative 1 Ax2 Bx C Chapter 13 Ncert



Let P X Be The Polynomial X 3 Ax 2 Bx C Where A B C In R If P 3 P 2 0 And Youtube



F X Is A Cubic Polynomial X3 Ax2 Bx C Such That Chegg Com



Let A B C R If F X Ax 2 Bx C Be Such That A B C 3 And F X Y F X F Y



4 The Following Figure Shows The Graph Of The Polynomial F X Ax2 Bx C Then 1 A 0 And C 0 2 A 0 3 A 0 And C 0



Let F R R And F X X 3 Ax 2 Bx 8 If F X 0 Has Three Real Roots F X Is A Bijective Then A B Is Equal To



Quadratic Functions



6 If One Of The Zeroes Of The Cubic Polynomial X3 Ax2 Bx C Is 1 Then The Product Of Other T Youtube



2



What Are The Values For A B That Make F Continuous F X X 2 4 X 2 If X 2 F X Ax 2 Bx 3 If 2 X 3 F X 2x A B If X 3 Socratic



Let F X X 3 Ax 2 Bx C Where A B C Are Real Numbers If F X Has A Local Minimum At X 1 And A Local Maximum At X 1 3 And F 2 0 Then Int 1 1 F X Dx Equals



2



Condition That F X X 3 Ax 2 Bx 2 C Is Anincreasing Function For All Real Values Of X Is



Quadratic Graph Example Y Ax C Expii



Answered Find A Polynomial P X X 3 Ax 2 Bx C Bartleby



The Equation Ax2 Bx C 0 Has No Real Solutions Which Statement About The Graph Of F X Ax2 Brainly Com



When The Polynomial F X Ax 2 Bx C Is Divided By X X 2 And X 3 Remainders Obtained Are 7 9 And 49 Respectively Find The Value Of 3a 5b 2c



1



How Do You Find A Quadratic Function F X Ax 2 Bx C For Which F 1 2 F 3 46 And F 3 16 Socratic



Y Ax 3 Bx 2 Cx D Geogebra



Let F X X 3 Ax 2 Bx C Where A B C Are Real Numbers If F X Has A Local Minimum At X 1 And A Local Maximum At X 1 3 And F 2 0 Then Int 1 1 F X Dx Equals



Graphing Quadratic Functions



Quadratic Function Wikipedia



For Y Ax Bx C A Find Y F X 3 Ax2 2 Bx 0 Chegg Com



An Exploration Of Ax 3 Bx 2 Cx D 0



A Curve Has The Equation Y Ax 3 Bx 2 Cx D The Curve Has A Point Of Inflection At 2 22 And The Equation Of The Tangent To The



Graphing Quadratic Equations



Q 3 Consider A Polynomial F X Ax2 Bx C Such That F 0 4 When F 0 Is Divided By X 1 Maths Polynomials Meritnation Com



Find A Polynomial Of The Form F X Ax 3 Bx 2 Cx Chegg Com



If The Diagram In Fig Shows That Graph Of The Polynomial F Scholr



The Condition That F X X 3 Ax 2 Bx C Is An Increasing Function For All Values Of X Is



Mm2a3 Students Will Analyze Quadratic Functions In The Forms F X Ax 2 Bx C And F X A X H 2 K Mm2a4b Find Real And Complex Solutions Of Ppt Download



F X Is A Cubic Polynomial X 3 Ax 2 Bx C Such That F X 0 Has Three Distinct Inte Youtube


No comments:
Post a Comment